
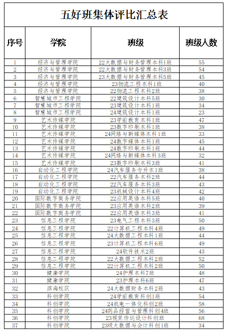
根据《学生管理规定》中“五好班集体评选办法”,我校组织了2024-2025学年“五好班集体”评审工作。经各二级学院认真评选、初审、公示,学生处汇总、审核,拟评选出“五好班集体”37个,现将“五好班集体”名单予以公示:乐鱼手机平台_乐鱼(中国)五好班集体汇总表.xls
公示时间为:4月16日至4月20日
如有异议,请在公示期内以书面材料形式向学生处反映。
电话:15818820564
地址:一站式服务大厅一楼学生处办公室

乐鱼手机平台_乐鱼(中国)学生处
2025年4月16日

关注微信号
©版权所有:乐鱼手机平台_乐鱼(中国)
广州校区:广州市广从九路1038号滨海校区:茂名市高地智慧城慧城三街8号
粤ICP备20000181号-1 网站技术支持:品牌运营中心