乐鱼手机平台_乐鱼(中国)建筑工程学院
2020-2021学年奖学金评定结果
根据《广州科技职业技术大学国家奖学金管理办法》,《广州科技职业技术大学国家励志奖学金管理办法》,《广州科技职业技术大学个人集体评优评先奖励细则》要求,在公平、公开、公正的基础上,我院开展2020-2021学年国家奖学金、国家励志奖学金、学校奖学金、优秀三好学生、三好学生、优秀学生干部评选工作。
经各班级推荐,学院评审委员会,拟确定郑燕珊、吴灵志、张焕辉获得国家奖学金,卢韵怡等54人获得国家励志奖学金,蔡铠洲等613人获得学校奖学金,刘炜麟等138人获得优秀三好学生、何国梁等153人获得三好学生、刘炜麟等236人获得优秀学生干部,现予以公示:
国家奖学金(3人)
郑燕珊、吴灵志、张焕辉
国家励志奖学金(54人)
卢韵怡、刘炜麟、杨嘉美、陈人宁、陈俊希、谢彦峰、王健民、宋黄凯、李志扬、丘文辉、程子进、何兰树、杨土华、陈庭威、罗泽凯、郭泽浩、王泽嘉、陈汉铭、陈蔚川、冯家劲、罗嘉琪、翁舒歆、丘耿滔、卢梓豪、罗有荣、叶灿立、张梦瑶、陈佳宜、黄子文、欧剑锋、杨晓鸿、李焙淋、黄志锋、陈嘉怡、吴彦、刘东源、洪晓东、黄俊楷、陈焕升、邓溢杨、赵慧欣、蒙俊言、张彦祖、刘嘉茵、叶绿兰、黄佳丽、杨正龙、陈治金、胡晓微、郑泽侨、刘秋妹、钟嘉城、卢嘉琳、刘俊权
学校奖学金(613人)
特等奖学金(12人)
蔡铠洲、罗泽凯、陈扬恩、张福尧、蔡佳羽、刘伟林、杨尔琳、杨兴江、叶恩平、卢嘉琳、洪子航、杨正龙
一等奖学金(114人)
刘炜麟、陈永琪、陈立群、梁思杰、黄靖、陈琪琪、周昊尧、刘付昌、李菀蕾、陈俊希、王泽嘉、巫俊城、蔡俊东、郭泽浩、黄奕淋、张国煌、陈庭威、卢佩娜、李莉婷、杨舒萍、李钰婷、林旋婷、李志扬、刘泽海、王健民、程子进、何兰树、黄水凤、黄熙、陈广源、张政锦、林煌杰、许嘉纯、曾森涛、丁朕朕、钟锦涛、邓翰涛、邓柯、郑燕珊、雷莉元、罗有荣、何林勇、丘耿滔、柯奕烜、叶灿立、张梦瑶、麦伟权、蔡梅烁、林烨烽、黄培生、杨晓鸿、宁洁莹、刘俊昇、麦梓荣、马佳豪、何礼镔、曾梓炫、黄志锋、黄炜、赵梓泓、吴汉潮、袁涛、黄俊楷、吴彦、刘东源、温民富、洪晓东、潘伟宁、陈焕升、赵慧欣、邓溢杨、朱佳欣、蒙俊言、李慧仪、苏宇栎、张德锋、许永彬、翁舒歆、傅美艳、黄家成、严芷慧、郑温悦、刘俊权、李滢、郑梓升、谢雨翰、郑锴溢、董家文、梁鸿玮、吴伟润、徐爱玲、司徒翊华、冯佳然、张彦祖、钟俊权、罗浩源、黄子莹、唐嘉宝、喻叶、黄佳丽、谢泽升、黄富民、吴灵志、叶绿兰、曾庆渝、邓嘉怡、谭桂池、张丰瑞、撖书铮、吴雨蔓、李土文、韩干昌、杨土华、吴雅婷
二等奖学金(141人)
何国梁、卢有群、丁雨晴、曾焕铭、卢韵怡、杨嘉美、马杰理、陈人宁、曾瑜、庞嘉欣、谢彦峰、卢伟鹏、罗邦、凌上泰、黄国传、林照恒、廖勤、王奕豪、王宇培、邱梦鑫、钟鸣婕、陈正、杨鸿钊、魏金莹、陈佩然、陈汉铭、余琪荣、郑钦烈、宋黄凯、黄伟俊、黄霖威、丘文辉、何奎贤、张浩明、区芽喜、刘海宇、麦栩茵、张权、莫楚倩、黄业裕、邓海林、温海圣、吴羡仪、林钰臻、莫淇深、何昊佳、刘诚宇、卢守彬、刘品健、严嘉健、吴易芳、冯家劲、陈蔚川、梁妙恒、梁翠仪、何健强、吕慧菁、李嘉宝、卢梓豪、陈浩、禤廷港、赵镇钊、陈佳宜、陈奕帆、张程、梁权、黄涵斌、欧剑锋、邱煜林、黄绮静、梁广宇、李焙淋、王永宏、顾伟炫、侯天宁、黄子文、李泽亮、李昊锴、丁炅、李楷庭、张焕辉、梁朗咪、陈泽浩、王邦宪、王永信、曾焕鑫、陈俊、华文浩、周涛林、王耀宗、潘诺、张佳淇、邱佳嘉、李卓颖、何佳琪、彭家瑞、许浩权、贝金录、陈嘉怡、陈俊高、何展扬、陈慧欣、谭诗琪、胡晓微、郑泽侨、卢啟俊、陈治金、张斯琪、郑焕杰、翁坚豪、马栋浩、李俊诚、黄钰雅、张佳华、林俊灿、张浩鸣、黄洁婷、凌俐、王振杰、王梓宇、蔡泽欣、饶煜锟、黄廉龙、谭雁南、刘嘉茵、刘明泉、王蜜、蔡忠秩、苏泽松、范焯琪、于奥楠、梁英智、龚瑞堂、刘家贤、麦雪莹、叶育全、刘演龙、余秋茹、罗嘉琪、何嫣婷、陈逸飞
三等奖学金(163人)
袁誉、张家杰、陈钟树、刘华健、吴煜铭、孙骏龙、郭晓莹、张燕群、陈智欢、徐恒明、郭柏麟、黄梓华、余恒溪、杨钊、黄子嫣、陈瑞扬、林宇峒、苏炜东、潘志雄、关兆夫、杨冠豪、黄瑞杰、区建胜、梁琬婷、黄良波、蔡林柳、饶楚鹏、陈雨虹、杨洁、展航楷、张泳淇、柳英志、郑钦哲、罗敏婷、邓舒莹、陈超松、王坚、肖华强、黄磊、彭韵淇、卢绮琪、樊天佑、方泽川、杨凌霄、郑焕煜、陈伟宏、许佳豪、陈郅豪、王冠博、姚景晧、刘芝霆、林希讷、张颜珉、李国雄、王芷希、陈娸娸、刘秋妹、罗培鸿、李子城、肖俊、张阁航、朱伟严、钟嘉城、刘浚驹、柯树贤、谢志滔、张真源、陈新明、彭昶桦、邱嘉琪、杨超卓、陈楚委、廖德锋、张耘静、周健生、严雪婷、杨裕曼、蔡冠智、蔡泳亮、宁浩杰、李志鹏、张国东、吴美莹、陈俊谦、王家康、李宛锡、朱毅璇、李泽龙、叶立文、潘新林、邓文智、陈杰豪、刘雅怡、何浩然、曾颂良、徐恒、钟荻、薛坚庭、吴基健、陈振鹏、王海涛、黄晓霖、全玉云、施源泉、吴炘辉、吴帆、傅浩良、曾莉雯、陈杰锋、谭淑怡、林源、林泗池、谢培、梁滢滢、谢泳仪、钟旭康、吴泽宾、叶川、许杏瑜、卢学明、林宇嵩、叶梓源、李永鸿、麦嘉壕、马绍欣、冯昊、黄文康、覃朗、邹俊杰、钟世鸿、梁雅妮、骆仿文、吴佳孺、孙嘉俊、冯婉仪、钟岳峰、张海霖、彭志勇、陈思敏、李楚仪、梁楚怡、刘德杰、吴双、朱格锋、郑焕舟、吴洪艺、黄仲铭、郭海珠、古煜枫、谭佳昕、周浩文、李文杰、李宇鹏、林耀燊、陈铎滨、李伟钊、陈俊杰、谭业斌、卢均松、余汶龙、郑皓泰、苏明胜、刘俊良
专项奖学金(183人)
尹超然、官文培、丁楠、李淳禧、刘乔茵、朱森斌、黄小玲、谭倩华、郑晓波、陈启华、陆荣兵、李旭焕、苏忠孟、罗晓文、王禧樵、高敬豪、唐志泓、陈棋安、黄靖霖、姚章豪、陈永灿、叶嘉杰、姚鑫浪、梁岂铭、麦永辉、杨炀、江阳铭、耿祥宸、伍嘉辉、黎文滨、冼焕聪、蒋天海、苏宇超、豆诗韵、叶晋豪、梁必成、唐峻伟、罗彩宜、林振龙、郑泽鹏、叶砦昌、陈嘉怡、王功成、杨林涵、吴佳政、陈学豪、陈家林、范嘉伟、叶悦聪、兰鑫、李土煜、谭冠超、邹子幸、王振、陈姿旭、黄泓琪、梁慧敏、陈景豪、黄烁辉、陈俏青、凌海霖、袁敬淘、王圳、刘思鹏、刘佳彬、陈泓豫、杨康、余李维、叶凯斌、李嘉杰、黄泽霖、郑家麟、陈美玲、区嘉琳、林勋兰、莫泽杰、杨鸿、罗在颖、张智勇、叶信宏、黄智坚、李泽坤、钟志城、林桓生、李周宇、庄爱兰、刘佩琦、黄健华、蔡源源、曾玮、崔海旗、唐煜翔、傅润玉、陈运杰、周智聪、邱智琳、袁绍珺、蓝卓键、吕京龙、李樽森、杨浩、潘星宇、杨汉明、杨铭针、刘文泳、刘菁怡、陈育琪、陈颖、陈弘志、吴轩垚、邓颂刚、陈中海、于书鑫、张淮明、邱雄锟、王梓浩、杨思炜、邹平治、赖嘉豪、郭煜斌、陈隆达、黄荣圳、黄会鑫、何泽新、宁裕婷、郑泽健、文诗、赵姝琦、李龙、刘雨诗、郭宇恒、张梓鸿、王雅婷、何一帆、吕荣正、陈洪凯、李志佳、杨志坚、张恺真、李岳钊、孔泽源、林家扬、吴锡兵、李涛、姚泽航、李联拓、郑国廷、赵良鸿、许仕达、李菀蕗、李宝仪、颜榕、吴俊龙、韩宇琪、吴子龙、刘舒晴、罗海鹏、郭玉莲、邹茹静、王卓斌、潘端月、梁灏麟、胡钟健、杜梓升、邓文玲、李德龙、魏浩宇、李粤龙、黄雨澍、赖文浩、胡景深、曾梓炎、徐小蕊、马高延、陈华海、谭皓洋、陈景满、姚潜、廖妍梅、梁朝、任高蒿、谢勇峰、赵嘉兴
优秀三好学生(138人)
刘炜麟、陈永琪、陈立群、梁思杰、黄靖、蔡铠洲、陈琪琪、周昊尧、刘付昌、李菀蕾、陈俊希、郭泽浩、黄奕淋、张国煌、陈庭威、罗泽凯、杨舒萍、李莉婷、王泽嘉、陈扬恩、卢佩娜、巫俊城、蔡俊东、李钰婷、林旋婷、李志扬、刘泽海、王健民、程子进、何兰树、黄水凤、黄熙、陈广源、赵梓泓、吴汉潮、刘伟林、袁涛、杨尔琳、黄俊楷、吴彦、刘东源、温民富、洪晓东、潘伟宁、杨兴江、陈焕升、赵慧欣、邓溢杨、蒙俊言、李慧仪、苏宇栎、张德锋、叶恩平、朱佳欣、黄家成、严芷慧、卢嘉琳、翁舒歆、傅美艳、麦梓荣、马佳豪、何礼镔、曾梓炫、杨晓鸿、张福尧、黄培生、林烨烽、蔡佳羽、黄炜、黄志锋、宁洁莹、刘俊昇、谢雨翰、郑锴溢、董家文、梁鸿玮、吴伟润、徐爱玲、杨正龙、司徒翊华、冯佳然、李滢、郑梓升、洪子航、郑温悦、刘俊权、谭桂池、张丰瑞、曾庆渝、邓嘉怡、撖书铮、吴雨蔓、李土文、韩干昌、杨土华、吴雅婷、张政锦、林煌杰、许嘉纯、曾森涛、丁朕朕、钟锦涛、邓翰涛、邓柯、郑燕珊、雷莉元、丘耿滔、柯奕烜、罗有荣、何林勇、叶灿立、张梦瑶、麦伟权、蔡梅烁、麦梓荣、马佳豪、何礼镔、曾梓炫、杨晓鸿、张福尧、黄培生、林烨烽、蔡佳羽、黄炜、黄志锋、宁洁莹、刘俊昇、吴灵志、叶绿兰、喻叶、黄佳丽、谢泽升、黄富民、钟俊权、罗浩源、黄子莹、唐嘉宝、张彦祖
三好学生(153人)
何国梁、卢有群、丁雨晴、曾焕铭、卢韵怡、杨嘉美、马杰理、陈人宁、曾瑜、庞嘉欣、谢彦峰、卢伟鹏、罗邦、凌上泰、黄国传、邱梦鑫、钟鸣婕、陈正、杨鸿钊、陈汉铭、余琪荣、林照恒、廖勤、魏金莹、陈佩然、王奕豪、王宇培、郑钦烈、宋黄凯、黄伟俊、黄霖威、丘文辉、何奎贤、张浩明、区芽喜、刘海宇、麦栩茵、张权、莫楚倩、黄业裕、李昊锴、丁炅、李楷庭、张焕辉、梁朗咪、陈泽浩、王邦宪、王永信、曾焕鑫、陈俊、华文浩、周涛林、王耀宗、潘诺、李卓颖、何佳琪、许永彬、彭家瑞、许浩权、邱佳嘉、张佳淇、何展扬、陈慧欣、贝金录、陈嘉怡、陈俊高、王永宏、梁广宇、李焙淋、侯天宁、顾伟炫、欧剑锋、黄涵斌、张程、梁权、黄子文、李泽亮、黄绮静、邱煜林、郑焕杰、翁坚豪、马栋浩、李俊诚、黄钰雅、张佳华、林俊灿、张浩鸣、卢啟俊、陈治金、张斯琪、谭诗琪、胡晓微、郑泽侨、范焯琪、于奥楠、刘家贤、麦雪莹、叶育全、刘演龙、余秋茹、罗嘉琪、何嫣婷、梁英智、龚瑞堂、邓海林、温海圣、吴羡仪、林钰臻、莫淇深、何昊佳、刘诚宇、卢守彬、刘品健、吴易芳、冯家劲、陈蔚川、梁妙恒、梁翠仪、李嘉宝、卢梓豪、何健强、吕慧菁、陈浩、禤廷港、赵镇钊、陈佳宜、陈奕帆、王永宏、梁广宇、李焙淋、侯天宁、顾伟炫、欧剑锋、黄涵斌、张程、梁权、黄子文、李泽亮、黄绮静、邱煜林、蔡忠秩、苏泽松、谭雁南、刘嘉茵、刘明泉、王蜜、王振杰、王梓宇、蔡泽欣、饶煜锟、黄廉龙、黄洁婷、凌俐
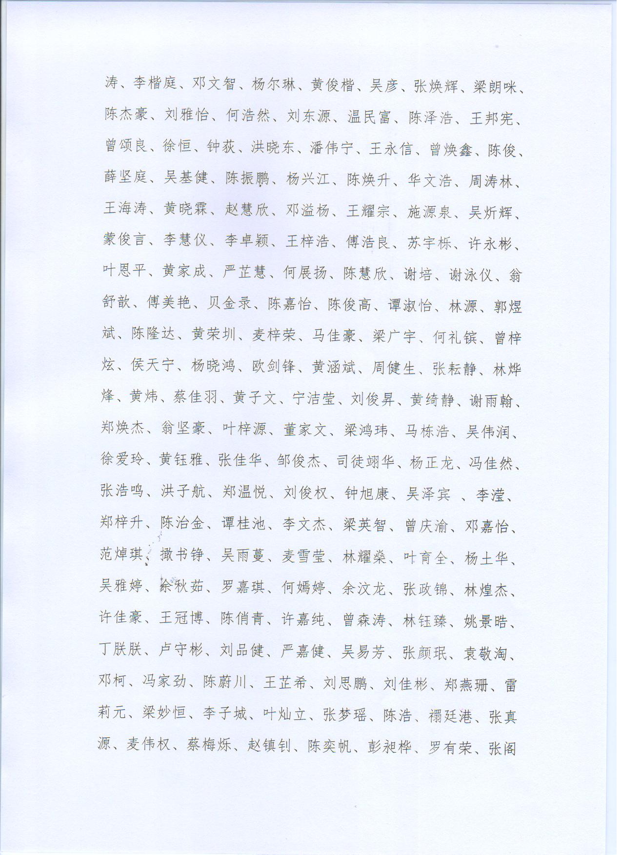
优秀学生干部(236人)
刘炜麟、陈立群、丁雨晴、卢韵怡、刘华健、黄靖、马杰理、张燕群、周昊尧、陈人宁、刘付昌、李菀蕾、罗邦、陈俊希、凌上泰、黄国传、黄子嫣、黄瑞杰、黄良波、张国煌、陈庭威、陈正、李莉婷、陈汉铭、余琪荣、王泽嘉、林照恒、廖勤、林宇峒、卢佩娜、巫俊城、蔡俊东、关兆夫、李钰婷、林旋婷、郑钦烈、黄伟俊、郑钦哲、李志扬、刘泽海、陈超松、王坚、王健民、程子进、区芽喜、何兰树、黄熙、张权、莫楚倩、郑焕煜、赵梓泓、吴汉潮、李昊锴、丁炅、李泽龙、叶立文、潘新林、刘伟林、袁涛、李楷庭、邓文智、杨尔琳、黄俊楷、吴彦、张焕辉、梁朗咪、陈杰豪、刘雅怡、何浩然、刘东源、温民富、陈泽浩、王邦宪、曾颂良、徐恒、钟荻、洪晓东、潘伟宁、王永信、曾焕鑫、陈俊、薛坚庭、吴基健、陈振鹏、杨兴江、陈焕升、华文浩、周涛林、王海涛、黄晓霖、赵慧欣、邓溢杨、王耀宗、施源泉、吴炘辉、蒙俊言、李慧仪、李卓颖、王梓浩、傅浩良、苏宇栎、许永彬、叶恩平、黄家成、严芷慧、何展扬、陈慧欣、谢培、谢泳仪、翁舒歆、傅美艳、贝金录、陈嘉怡、陈俊高、谭淑怡、林源、郭煜斌、陈隆达、黄荣圳、麦梓荣、马佳豪、梁广宇、何礼镔、曾梓炫、侯天宁、杨晓鸿、欧剑锋、黄涵斌、周健生、张耘静、林烨烽、黄炜、蔡佳羽、黄子文、宁洁莹、刘俊昇、黄绮静、谢雨翰、郑焕杰、翁坚豪、叶梓源、董家文、梁鸿玮、马栋浩、吴伟润、徐爱玲、黄钰雅、张佳华、邹俊杰、司徒翊华、杨正龙、冯佳然、张浩鸣、洪子航、郑温悦、刘俊权、钟旭康、吴泽宾 、李滢、郑梓升、陈治金、谭桂池、李文杰、梁英智、曾庆渝、邓嘉怡、范焯琪、撖书铮、吴雨蔓、麦雪莹、林耀燊、叶育全、杨土华、吴雅婷、余秋茹、罗嘉琪、何嫣婷、余汶龙、张政锦、林煌杰、许佳豪、王冠博、陈俏青、许嘉纯、曾森涛、林钰臻、姚景晧、丁朕朕、卢守彬、刘品健、严嘉健、吴易芳、张颜珉、袁敬淘、邓柯、冯家劲、陈蔚川、王芷希、刘思鹏、刘佳彬、郑燕珊、雷莉元、梁妙恒、李子城、叶灿立、张梦瑶、陈浩、禤廷港、张真源、麦伟权、蔡梅烁、赵镇钊、陈奕帆、彭昶桦、罗有荣、张阁航、丘耿滔、吴灵志、郑焕舟、吴洪艺、蔡忠秩、谭雁南、陈思敏、梁楚仪、刘嘉茵、黄富民、王蜜、钟俊权、罗浩源、王振杰、黄子莹、饶煜锟、张彦祖、黄洁婷、孙嘉俊、柯奕恒
此名单已于2021年10月05日-2021年10月08日,由各辅导员在班群内进行公示。
联系电话:020-87418891
联系邮箱:annblack@qq.com
联系地址: 建工楼602办公室
广州科技职业技术大学
建筑工程学院
2021年10月25日









